IPB

Здравствуйте, гость ( Вход | Регистрация )

 
Ответить в эту темуОткрыть новую тему
> ЖФ: Новый финотчет(30.03.07)
SiNyak
сообщение Mar 30 2007, 19:00
Сообщение #1


Reserve squad player
***

Группа: Members
Сообщений: 195
Регистрация: 13-October 05
Пользователь №: 449



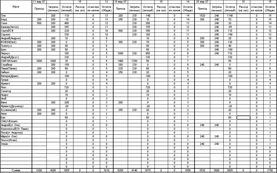
любуйтесь, проверяйте


Эскизы прикрепленных изображений
Прикрепленное изображение
Пользователь в офлайнеКарточка пользователяОтправить личное сообщение
Вернуться в начало страницы
+Ответить с цитированием данного сообщения

Ответить в эту темуОткрыть новую тему
1 чел. читают эту тему (гостей: 1, скрытых пользователей: 0)
Пользователей: 0

 



- Текстовая версия Сейчас: 21-04-2026 10:28:06